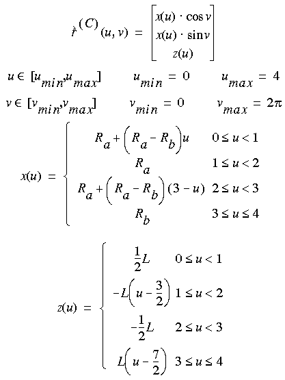
Mathematical syntax for ring surface